
Research Article Open Access, Volume 1 Issue 1
1Department of Environmental Sciences and Engineering, Faculty of Geography and Environmental Sciences, Hakim Sabzevari University, Sabzevar, Iran.
2Department of Environmental Sciences, Faculty of Environment and Natural Resource, Malayer University, Malayer, Iran.
Department of Environmental Sciences and Engineering, Faculty of Geography and Environmental Sciences, Hakim Sabzevari University, Sabzevar, Iran.
Copyright: Malvandi H. © All rights are reserved
Citation: Malvandi H, Hassanzadeh N. Evaluation of Temporal and Spatial Distribution of Radio Frequency Electromagnetic Fields (RF-EMF) Exposure Levels in Sabzevar, Iran. Epidemiol Public Health. 2023; 1(1): 1003.
Objectives: In recent years, investigating the possibility of health risks due to exposure to radio frequency electromagnetic field (RF-EMF) values has become an important research priorities. The main study goal was to evaluate the temporal and spatial exposure levels of power density (S) from BTS antennas in Sabzevar city. In addition, this study investigated the difference in power density between the suburbs and downtown, as well as between different microenvironments.
Methods: The power density values were measured at three distances from the BTS antennas and at three different time intervals. S values were measured using a TES 593 electrosmog meter. The General linear model repeated measurement tests and Mann-Whitney U test were used to measure the objectives. The Inverse Distance Weighted method was used to draw the spatial distribution map.
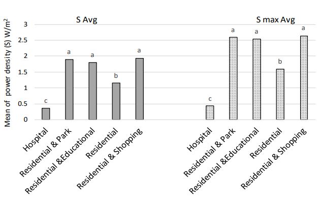
Results: Significant differences between the values of S Avg and S max Avg were detected based on distance from the BTS antennas, time measured, and type of location. For hospital, residential, residential-educational, residential-park, and residential-shopping, the average values of S Avg were 0.37, 1.15, 1.80, 1.89, and 1.94 W/m2 , respectively, and the average values of S max Avg were 0.43, 2.64, 2.54, 2.59, and 2.64 W/ m2 , respectively. There was a significant difference between S Avg and S max Avg values by microenvironment.
Conclusions: Comparison of the all of the measured values of S in this study with the limits set by multiple organizations indicated that the residents of Sabzevar city are not exposed to levels considered to pose a risk.
Keywords: Base transceiver station; Power density; Electromagnetic fields; Radiofrequencies; Human health; Exposure assessment.
With the growth and development of telecommunication technology, there has been continuing increase in the use of this technology. With the increase in the number of mobile phone subscribers, the number of Base Transceiver Stations (BTS) has also expanded greatly in cities [1]. Studies conducted in recent years clearly state the impact of mobile phone electromagnetic waves on public health, leading to related warning and control measures in most countries (such as recommended exposure limits).
Today, the risk of exposure to radio frequency-electromagnetic field (RF-EMF) has increased due to the advancement of technology and the construction of RF-EMF producing equipment and supplies [2]. Although the existence of mobile phone and BTS have led to quick and easy communication and easier access to certain services, these one of the main sources of human exposure to RF-EMF. Mobile phone communication antennas have the ability to produce waves with a frequency of 300 to 3000 MHz, so installing them near places such as residential buildings, commercial buildings, schools, and hospitals can have negative effects on the health and well-being of people living, studying, and working in those places [3,4].
Due to the development of wireless communication devices and increasing human exposure to RF-EMF, there has been a corresponding increase in concern about RF-EMF pollution and potential negative effects on quality of life [5]. In recent years, many studies have been conducted evaluating and characterizing environmental exposure to RF-EMF. For example, various studies have shown that the amount of exposure to these waves is not constant over time and is mainly influenced by variables such as the number of active users and the nature of their telecommunication activities. For these reasons, continuous monitoring and characterization of human exposure to RFEMF in residential areas has been a research priority [6,7].
For this reason, research has been conducted on possible dangers related to these technologies and this work has led to reports of negative effects of exposure to RF-EMF on human health. Documented effects include damage to the reproductive system, infertility, cell death, neurological disorders and learning disabilities, sleep disorders and reduction in sleep quality, mental confusion, effects on the blood-brain barrier, changes in the function of brain waves, hypersensitivity, and increased production of free radicals in the body [8-14]. In addition, RF-EMF is listed by the International Agency for Research on Cancer (IARC) as possibly carcinogenic to humans (Group B2) [12,15,16].
Currently, the lack of scientific information regarding the cumulative effects of exposure to electromagnetic waves emitted from different sources over long-term periods has made it a high research priority to conduct case studies in different cities. Based on the results of studies by the World Health Organization (WHO), this organization has identified research on human exposure to RF-EMF and the identification of factors influencing the effects of these waves in general societies as important priorities and have placed this work on the organization’s agenda [17].
Today, the unwanted exposure of humans to the waves caused by BTS antennas on the one hand and the high use of smart mobile devices on the other hand, have caused many concerns about the possible effects of exposure to these waves on humans in cities. Therefore, due to the increase in the installation of these antennas in and near human settlements and the existence of urban structures, often with a high height in these areas, and the uncertainty in how the wave power density is propagated around the BTS antennas, and also due to the 24-hour exposure to RF-EMF, it is necessary to carry out studies on the measurement of exposure to RF-EMF, especially in residential areas.
Due to the importance of this issue, in various specialized studies in this field, scientists put a lot of emphasis on measuring waves in different microenvironments in different cities with the same method and repeating it at certain time intervals during a year. Because repeated measurements with portable measuring devices in different microenvironments provide the necessary conditions for preparing long-term data of wave changes in order to manage, prevent and control their spread [5]. For this reason, in the present study, the following objectives were followed: 1) evaluation of temporal and spatial pollution of power density (S) caused by BTS antennas installed in Sabzevar city, 2) investigation of the difference in power density between places with different microenvironments (residential, hospital, residential-educational, residential-park, and residential-shopping), 3) investigation of the power density difference between the suburbs and the city center, 4) evaluation the risk of exposure to RF-EMF through comparison with reference standards.
This study examined exposure to RF-EMF in Sabzevar city, located in Razavi Khorasan province, Iran and the second most populated city in the province. In the study, the location of BTS antennas was determined using the information obtained from the Sabzevar Telecommunication Department and also through field surveys. A total of 41 antennas were identified and all were included in this study. Power density (S) values were measured using a TES 593 electrosmog meter. The frequency range of this device is from 10 MHz to 8 GHz and the measurement range is from 1 W/m2 µ to 30.93 W/m2. It has a three-dimensional measurement capability and its temperature response is from 0oC to 50oC.
After determining the location of the antennas, five different types of microenvironments (including residential, hospital, residential-educational, residential-park, and residential-shopping) were defined and their relationship to the location of the BTS antennas was documented. Next, the power density (S) values were measured in two sections: an evaluation of spatial changes in relation to the antennas and a corresponding evaluation of temporal changes. To investigate spatial changes, three distances (50, 100 and 300 meters) from each BTS antenna were systematically selected and the power density values (S) were measured in terms of W/m2 . To investigate temporal changes, three time periods were considered: T1 from 6:00 to 8:30 am (waking time and also the time that many people travel to and the from workplace); T2 from 10:00 to 13:00 (time during which the maximum number of people are at their workplaces); and T3 from 22:00 to 24:00 (time of maximum presence of people at home and time of rest and sleep). For every place and time, the power density (S) values were measured three times to reduce possible error. Additionally, all measurements were conducted in the same atmospheric conditions and in calm air. During the measurement, the presence of obstacles between the TES 593 electrosmog meter and the antenna was minimized and measurements were taken facing toward the antennas.
To determine the possible statistical difference of S between intervals (3 intervals) and time (3 times), the normality of the data was checked first using the Kolmogorov-Smirnov test. Due to the non-normality of the data, data transformation was used to produce normality. Due to the dependence of the data, the general linear model repeated measures test was used to determine the difference in S Avg and S max Avg values in times and distances, as well as the interaction effect between distance and time. Due to the non-normality of data, the difference between S Avg and S max Avg values between microenvironments was measured using the Kruskal-Wallis test and the Mann-Whitney U test was used to determine the difference between the power density values in the different microenvironments and between the suburbs and downtown. To draw a spatial distribution map of the obtained data, the IDW (Inverse Distance Weighted) method was used using ArcGIS 10.6.1 software.
The power density (S) values in the studied locations.
Table 1 shows the average, standard error, minimum, maximum and percentile values of power density (S) at distances of 50, 100, and 300 meters from BTS antennas and also at three different times: T1 (6:00-9:00), T2 (10:00 to 13:00) and T3 (21:00 to 23:00). The average values of S Avg ranged from 1.693 to 2.586 for 50 m, from 1.220 to 2.307 for 100 m, and from 1.122 to 2.061 W/m2 for 300 m for all time, and the average values of S max Avg ranged from 2.122 to 3.612 for 50 m, from 1.737 to 2.842 for 100 m, and from 1.735 to 2.557 W/m2 for 300 m for all times.
Power density difference between intervals
The difference between the values of S Avg and S max Avg at distances of 50, 100 and 300 m from the BTS antennas, regardless of the measured times, was evaluated. The lowest and highest values of S Avg were 0.102 and 27.370 W/m2 for 50 m, 0.021 and 21.610 W/m2 for 100 m, respectively, and ND to 21.050 W/m2 for 300 m, respectively. The lowest and highest values of S max Avg were 0.124 and 31.250 W/m2 for 50 m, 0.074, and 21.710 W/ m2 for 100 m, respectively, and ND to 34.700 W/m2 for 300 m, respectively (Figure 1).
Difference between times
At the different times studied (T1, T2 and T3), the difference between S Avg and S max Avg values was evaluated, regardless of the distance from the BTS antenna. The lowest and highest values of S Avg were 0.102 and 21.050 W/m2 for T1, 0.021 and 12.610 W/m2 for T2, and ND to 10.960 W/m2 for T3, respectively. The lowest and highest values of S max Avg were 0.162 and 31.250 W/ m2 for T1, 0.074 and 14.826 W/m2 for T2, and ND to 21.050 W/ m2 for T3, respectively. The results showed that there were significant differences between S Avg and S max Avg values between T1 and T2 and T3 times, while no significant difference was found between T2 and T3 times (Table 2).
Difference between places by microenvironment
In total, based on the location of BTS antennas in different places of the city, five types of microenvironments (hospital, residential-educational, residential-park, and residential-shopping) were identified. The highest variability of S Avg and S max Avg values was recorded for residential - shopping (minimum 0.07 W/m2 , maximum 21.71 W/m2 , median 0.83 W/m2 and standard deviation 3.23 W/m2 for S Avg; minimum 0.1 W/m2 , maximum 34.70 W/m2 , median 1.23 W/m2 and standard deviation 3.83 W/m2 for S max Avg) and the lowest variation was recorded for hospital (minimum 0.02 W/m2 , maximum 1.41 W/m2 , median 027 W/m2 and standard deviation 0.32 W/m2 for S Avg; minimum 0.09 W/m2 , maximum 1.79 W/m2 , median 0.32 W/m2 and standard deviation 0.33 W/m2 for S max Avg) (Figure 3).
The difference between the suburbs and the downtown
A comparison of S Avg and S max Avg values between the antennas located in the suburbs and downtown was also conducted. In the suburbs of the city, the average, minimum and maximum value of S Avg were 2.26, 0.10, and 34.70 W/m2 , respectively, and the average, minimum, and maximum value of S max Avg were 3.04, 0.10, and 21.71 W/m2 , respectively. In the downtown, the average, minimum, and maximum value of S Avg were 1.19, 0.02 and 11.24 W/m2 , respectively, and the average, minimum, and maximum value of S max Avg were 1.68, 0.04 and 13.10 W/m2, respectively.
| Parameter | S (W/m2) | ||||||||
|---|---|---|---|---|---|---|---|---|---|
| Avg | Time |
Distance from the base station (m) |
Percentile | ||||||
| Mean | S.E | Min | Max | 25th | 50th | 75th | |||
| T1 (6-9) | 50 | 1.693 | 0.287 | 0.102 | 12.520 | 0.468 | 1.015 | 1.615 | |
| 100 | 1.220 | 0.160 | 0.021 | 12.610 | 0.393 | 0.698 | 1.380 | ||
| 300 | 1.122 | 0.166 | ND | 10.960 | 0.218 | 0.498 | 1.060 | ||
| T2 (10-13) | 50 | 2.531 | 0.226 | 0.124 | 12.240 | 1.015 | 1.635 | 3.190 | |
| 100 | 2.105 | 0.252 | 0.046 | 21.610 | 0.712 | 1.154 | 2.360 | ||
| 300 | 2.061 | 0.402 | ND | 19.190 | 0.342 | 0.807 | 1.930 | ||
| T3 (21-23) | 50 | 2.586 | 0.197 | 0.245 | 11.050 | 0.953 | 1.790 | 3.605 | |
| 100 | 2.307 | 0.227 | 0.137 | 11.920 | 0.635 | 1.290 | 3.190 | ||
| 300 | 1.716 | 0.200 | ND | 10.310 | 0.320 | 0.754 | 2.205 | ||
| Max Avg | T1 (6-9) | 50 | 2.122 | 0.212 | 0.162 | 31.250 | 0.678 | 1.400 | 2.275 |
| 100 | 1.737 | 0.225 | 0.074 | 2.466 | 0.468 | 1.008 | 1.916 | ||
| 300 | 1.735 | 0.280 | ND | 21.050 | 0.258 | 0.773 | 1.625 | ||
| T2 (10-13) | 50 | 3.486 | 0.357 | 0.296 | 24.360 | 1.350 | 2.240 | 3.800 | |
| 100 | 2.747 | 0.306 | 0.092 | 21.650 | 0.960 | 1.545 | 3.193 | ||
| 300 | 2.557 | 0.341 | ND | 34.700 | 0.375 | 1.080 | 2.800 | ||
| T3 (21-23) | 50 | 3.612 | 0.332 | 0.404 | 27.370 | 1.420 | 2.505 | 4.260 | |
| 100 | 2.842 | 0.286 | 0.225 | 21.710 | 1.690 | 3.925 | 0.964 | ||
| 300 | 2.351 | 0.277 | ND | 14.880 | 0.380 | 1.025 | 3.135 | ||
*ND: Non detected
| S Avg | Smax Avg | ||||||
|---|---|---|---|---|---|---|---|
| Time | Mean Difference (I-J) | Sig. | Time | Mean Difference (I-J) | Sig. | ||
| I | J | I | J | ||||
| T1 | T2 | -0.231* | 0.000 | T1 | T2 | -0.213* | 0.000 |
| T3 | -0.262* | 0.000 | T3 | -0.241* | 0.000 | ||
| T2 | T1 | 0.231* | 0.000 | T2 | T1 | 0.213* | 0.000 |
| T3 | -0.031 | 0.062 | T3 | -0.028 | 0.096 | ||
| T3 | T1 | 0.262* | 0.000 | T3 | T1 | 0.241* | 0.000 |
| T2 | 0.031 | 0.062 | T2 | 0.028 | 0.096 | ||
| Frequency range | ICNIRP, EC and INSO |
|---|---|
| 10-400 MHz | 2 |
| 4-2 GHz | 𝑓/ 200 |
| 2 -300 GHz | 10 |
| Reference | [27-30] |
Power density difference between intervals
The results of the statistical analysis showed that there was a significant difference in the values of S Avg and S max Avg between the different distances studied from the BTS antennas. The highest average values of S Avg and S max Avg were obtained at a distance of 50 m from the antennas followed by 100 m and then 300 m (Figure 1). Based on these results, residents close to the BTS antennas (within 50 m of the antennas) are more exposed to the electric fields than those who are farther away. In this study, the interaction effect between distance and time was also studied on S Avg and S max Avg and no interaction effect was found between the two variables.
In other studies, similar results have been obtained documenting a significant difference between the amount of power density and different distances from BTS stations, [18], and a decrease in the amount of power density with increasing distance from BTS stations [19,20]. On the other hand, Kiovrekis et al. (2020) found no statistically significant relationship between RF-EMF exposure values and different distances from antennas [21].
Difference between times
The results showed that the highest average S Avg and S max Avg were at night (T3), which was higher than noon (T2) with the lowest values in the morning (T1) (Table 2). Perhaps the reason for the observed difference between the S Avg and S max Avg values at times T1, T2, T3 are related to the types of human activity and use of RF-EMF-producing devices. At the time T1 people are waking up, going to the workplace, or returning from the workplace while most other people living at home are sleeping. Users are therefore more active in the other two times, and as a result, BTS stations must emit higher power during those times and therefore exposure is higher. However, in a study in different cities in Europe, it was found that measurements in the morning were much higher than values measured at night or in the evening due to the start times of work at various organizations, due to the use of offices, and due to the use of the Internet by a large number of employees [17].
In other similar studies, the temporal variability of the power density during the day has been investigated. For example, exposure to power density values in three time periods: day (7:00- 18:00), evening (18:00-23:00) and night (23:00-7:00) have been studied in Amsterdam and Purmerend (Netherlands). There was a difference between the power density values at different time periods. The lowest average value was recorded at night and the highest value was recorded in the evening [22]. Different results were also reported in a study conducted by Velghe et al. (2019). In this study, conducted in Brussels, exposure to power density values in peak hours ((morning (7:00 and 9:15) and evening (16:30 and 19:00)) was significantly higher than non-peak hours ((morning to afternoon (from 9:15 to 16:30)), while no significant difference was observed between these time periods in the other two studied cities (Ghent and Bruges) [23]. In another study conducted by Ramirez-Vazquez et al. (2021), more power density values were recorded in daytime than nighttime in Mexico [24].
In the present study, the spatial distribution map of the average values of S Avg and S max Avg in three time periods T1, T2, and T3 and at three different distances measured from the BTS antennas, provides insight into the radio frequency values of the electromagnetic field (Figure 2). More maps of the figure S1 are also shown. According to these maps and the results of the previously mentioned analyses, the values of S Avg and S max Avg in all three times showed a downward trend with increasing distance from the antennas. In general, the comparison of the obtained maps showed that most of the data are in the first 3 categories (8-12 W/m2 ).
Difference between places by microenvironment
The differences between S Avg and S max Avg values were evaluated according to the type of microenvironments. In this case, the comparison of S Avg and S max Avg values was investigated in terms of two scenarios. The first scenario involved comparing the S Avg and S max Avg values according to the type of microenvironment without considering the different measured times and the second scenario involved comparing the S Avg and S max Avg values according to the type of microenvironment while considering the different measured times. The results of the first scenario showed that there were significant differences between the values of S Avg and S max Avg among all microenvironments except for the microenvironment of residential with residential-park, residential-park with residential-shopping, and residential-education with Residential-Shopping (Figure 3). The results of the second scenario showed significant differences between microenvironments. At T1 time, a significant difference was observed only between hospital and other microenvironments for both S Avg and S max Avg. At this time, the lowest average values of S Avg and S max Avg among microenvironments were obtained in the hospital. At T2 time, there were significant differences between S Avg and S max Avg values in all microenvironments except residentialeducational with residential-shopping and residential with residential-educational. At T3 time, no significant differences were observed for S Avg values only in residential-park with hospital and residential with residential-shopping microenvironments, and for S max Avg only in residential-park with hospital. Other microenvironments had significant differences with each other. In some other similar studies, such as the study conducted by Urbinello et al. (2014) and Ibrani et al. (2016), the values of exposure to RF-EMF has been reported to differ according to the type of microenvironments [25,26].
The difference between the suburbs and the downtown
The difference between the values of of S Avg and S max Avg in the antennas located in the suburbs and downtown were compared with each other. The results showed that there was a significant difference between the values of S Avg and S max Avg in the antennas located in the suburbs of the city compared to the antennas located in the center of the city (p<0.05) and the values recorded in the suburbs of the city were higher than in the downtown. One possible explanation for the obtained result is that there are fewer obstacles, such as one-story and low-rise buildings, in the suburbs compared to the central areas of the city.
Comparison with standards
All of the power density values (S) recorded at all times and in all places in this study were lower than the permissible limits set by the Iranian National Standardization Organization (INSO), International Commission on Non-Ionizing Radiation Protection (ICNIRP), and Information and Communication Technologies Authority (ICTA) (Table 3). Therefore, based on these standards and the results of this study, exposure to RF-EMFs does not threaten the health of residents of Sabzevar.
The results of the present study showed that there was a significant difference in the values of S Avg and S max Avg between three distances from BTS antennas, indicating that the residents near BTS antennas (within a distance of 50 meters from the antennas) are more exposed to the electric field. Also, there was a significant difference between S Avg and S max Avg values between T1 time, T2 and T3 time. The highest average value of S Avg and S max Avg occurred at night time (T3), followed by noon (T2), and then morning (T1), respectively. One possible reasons for the significant difference observed between the times can be related to the type of activity and use of RF-EMF-generating devices by people. Significant differences were found between the S Avg and S max Avg values in the antennas located in the suburbs and downtown and one possible reason may be the presence of fewer obstacles such as shorter and lower buildings in the suburbs compared with the downtown. In terms of microenvironments, significant differences were observed between the values of S Avg and S max Avg, and, in general, the values recorded in the hospital were lower than other microenvironments. The risk assessment of the risk of exposure to power density also showed the absence of potential risk for residents through comparison with limits set by the organizations. Finally, according to the results obtained from this research, it is important to consider factors such as the presence, height, and distribution of obstacles (especially buildings) to investigate exposure to radio frequency electromagnetic field (RF-EMF).
Supplementary materials: Supplementary materials are available at http://www.e-epih.org/.
Conflicts of interest: The authors have no conflicts of interest to declare for this study.
Funding: The author(s) received no financial support for the research, authorship, and/or publication of this article.
Acknowledgments: The authors are grateful to Professor Ann V. Paterson who improved the draft and added valuable comments to the manuscript.
Author contributions: All authors contributed to the study conception and design. HM: Conceptualization, Methodology, Validation, Investigation, Writing - Original Draft, Writing- Reviewing and Editing, Supervision. NH: Conceptualization, Methodology, Writing - Original Draft.
ORCID: Hassan Malvandi: https://orcid.org/0000-0003- 1923-1442; Nasrin Hassanzadeh: https://orcid.org/0000-0003- 4530-2312.